지금 우리가 밤하늘에서 바라보는 별빛은 수천, 수백만 년 전의 과거에서 온 빛이다.
하지만 그보다 훨씬 오래된, 약 138억 년 전 우주의 탄생 직후의 빛이 여전히 우리 주변에 존재하고 있다는 사실을 알고 있는가?
그 빛이 바로 우주배경복사(Cosmic Microwave Background, CMB) 다.
CMB는 우주가 ‘불덩이 같은 뜨거운 플라즈마’였던 시절의 흔적으로, 빅뱅 이후 약 38만 년 뒤에 처음 생겨났다.
이 빛은 지금까지 냉각되어 전자레인지 파장대인 마이크로파 형태로 우주 전체를 가득 채우고 있다.
과학자들은 이 빛을 통해 우주의 나이, 구조, 그리고 암흑물질·암흑에너지의 비율까지 알아낸다.
즉, CMB는 **우주의 탄생을 증명하는 가장 오래된 “우주 기록”**이다.

1. 우주배경복사의 탄생
우주가 태어난 직후, 온도는 약 10억 도 이상이었다.
이때는 빛과 물질이 서로 자유롭게 움직일 수 없었고,
전자와 양성자가 끊임없이 충돌하며 우주는 불투명한 ‘플라즈마의 바다’ 상태였다.
하지만 시간이 흐르며 우주가 팽창하고 식기 시작했다.
온도가 약 3,000도(K) 이하로 떨어지자, 전자와 양성자가 결합해 수소 원자를 만들 수 있게 되었다.
이때 비로소 빛이 자유롭게 움직일 수 있게 되었고,
그때 방출된 빛이 바로 지금까지 남아 있는 우주배경복사(CMB) 다.
2. CMB의 발견
1965년, 미국의 과학자 아노 펜지어스(Arno Penzias) 와 로버트 윌슨(Robert Wilson) 은
벨 연구소에서 위성 통신용 안테나를 테스트하던 중 이상한 잡음을 발견했다.
그 잡음은 방향을 바꿔도, 낮과 밤에도, 계절이 바뀌어도 사라지지 않았다.
결국 그들은 이 신호가 바로 우주 전체에서 균일하게 오는 ‘고대의 마이크로파 신호’임을 깨달았다.
이 발견은 곧 빅뱅 이론의 가장 강력한 증거로 인정되었고,
두 사람은 1978년 노벨 물리학상을 수상했다.

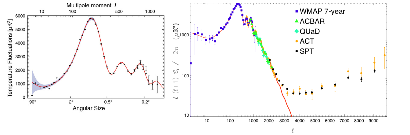
3. CMB가 알려주는 우주의 비밀
CMB는 단순히 고대의 빛이 아니라, 우주 구조의 모든 정보를 담고 있다.
- 온도 불균일: 우주의 초기 밀도 차이를 보여줌 → 은하 형성의 씨앗
- 편광 패턴: 우주 팽창과 인플레이션(급팽창)의 흔적
- 스펙트럼 분석: 우주의 나이(138억 년)와 구성 비율 계산 가능
이 데이터를 통해 과학자들은 현재 우주의 구성을 다음과 같이 계산했다.
🔹 암흑에너지 68%
🔹 암흑물질 27%
🔹 보통 물질 5%
즉, 우리가 알고 있는 모든 별과 행성은 우주 전체의 아주 작은 조각에 불과하다는 것이다.
4. CMB를 보는 방법 – 플랑크 위성의 관측
유럽우주국(ESA)의 플랑크(Planck) 위성은 2009년부터 2013년까지
CMB를 정밀 관측하며, 우주의 온도 변동 지도를 완성했다.
그 결과, 우주의 미세한 밀도 요동이 색깔의 차이로 표현된
‘CMB 전체 지도’가 만들어졌다.
이 지도는 우주가 완전히 균일하지 않다는 것,
즉, 작은 불균형이 지금의 별과 은하를 탄생시켰다는 사실을 보여준다.
5. 인류가 얻은 의미
CMB는 인류가 ‘우주의 기원’을 직접 볼 수 있는 유일한 창이다.
이는 단순히 과거를 보는 것이 아니라, 우주의 시간 자체를 관측하는 행위다.
CMB 덕분에 우리는 빅뱅이 단순한 가설이 아니라,
실제 물리적 사건이었다는 것을 증명할 수 있었다.
게다가 CMB 연구는 현재도 계속되고 있으며,
‘인플레이션(우주 급팽창)’의 흔적을 찾는 실험들이 진행 중이다.
이 연구는 우주의 탄생 이전, 즉 ‘무(無)’에서의 물리 법칙까지 이해하려는 시도로 이어지고 있다.
🌍 결론
우주배경복사(CMB)는 인류가 직접 관측할 수 있는 가장 오래된 빛이다.
그 빛 속에는 우주의 탄생과 진화, 그리고 미래에 대한 모든 단서가 숨어 있다.
CMB를 연구하는 것은 곧 우주의 기원을 탐구하는 일이며,
인류가 자신이 어디서 왔는지를 찾아가는 여정이다.
우주가 시작된 그 순간의 빛은, 지금 이 순간에도 우리 곁을 스치고 있다.
우리는 매일, 138억 년 전의 과거 속에서 살아가고 있는 셈이다.
✅ 글을 마치며
우주배경복사(CMB)는 빅뱅 이후 약 38만 년 뒤에 형성된 우주의 가장 오래된 빛으로,
현재는 마이크로파 형태로 우주 전체를 가득 메우고 있다.
CMB의 온도 불균형과 편광 분석은 우주의 나이, 구성, 인플레이션의 흔적을 밝혀내는 핵심 단서다.
이는 빅뱅 이론의 결정적 증거이며, 우주의 탄생을 증명하는 ‘빛의 화석’이다.